Предмет: Алгебра,
автор: kate6777
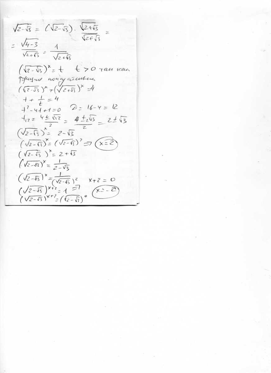
ОЧЕНЬ НУЖНА ВАША ПОМОЩЬ!!!! Я вроде почти решила, но что-то тут не то...
Приложения:
Ответы
Автор ответа:
0
Вы все правильно делаете не до конца доделали
2 и -2
там тоже взаимно обратные корни получаются
2 и -2
там тоже взаимно обратные корни получаются
Приложения:
Автор ответа:
0
Вложение ........................................
Приложения:
Автор ответа:
0
У меня через логарифмы не получилось((((((((((
Похожие вопросы
Предмет: Английский язык,
автор: zhamaevmansur2009
Предмет: Қазақ тiлi,
автор: Аноним
Предмет: Химия,
автор: studywithme343
Предмет: Алгебра,
автор: nastia891
Предмет: Литература,
автор: Руслан2015