Предмет: Математика, автор: zlatadoll12

Заміни відношення дробових чисел відношенням натуральних чисел 0, 4 : 1, 2.​

Ответы

Автор ответа: ludmilaksenija2005
0

Пошаговое объяснение:

0,4:1,2=4/10:12/10=4/10•10/12=4/12=1/3

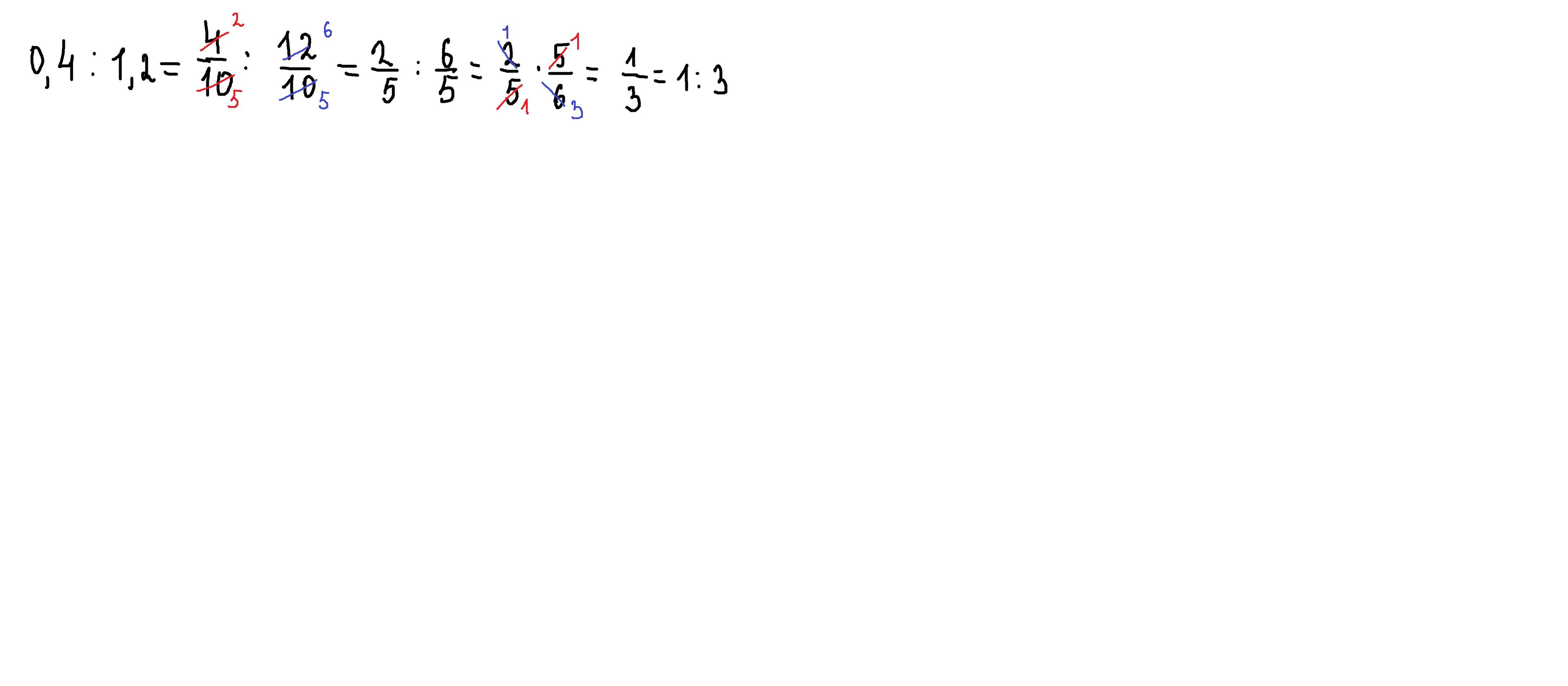
Автор ответа: parus77
0

Ответ:

1:3

Пошаговое объяснение:

решение внизу

Приложения:
Похожие вопросы
Предмет: Алгебра, автор: kristinatananowa1911