Предмет: Алгебра,
автор: sagdiana00333
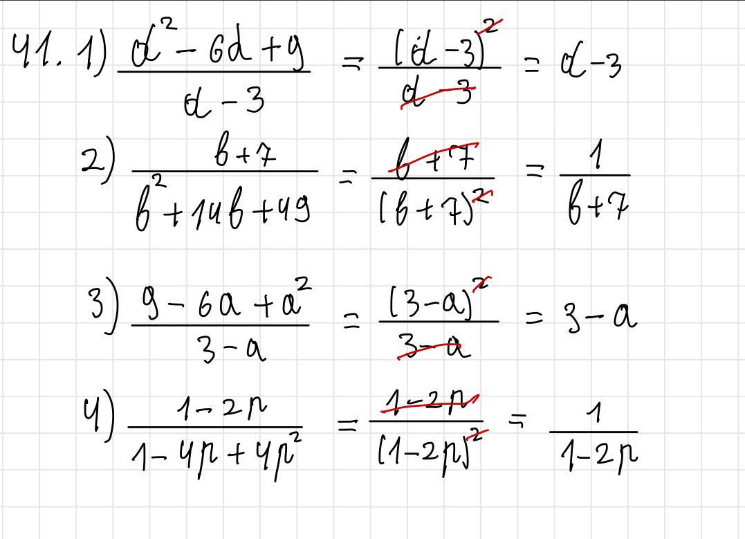
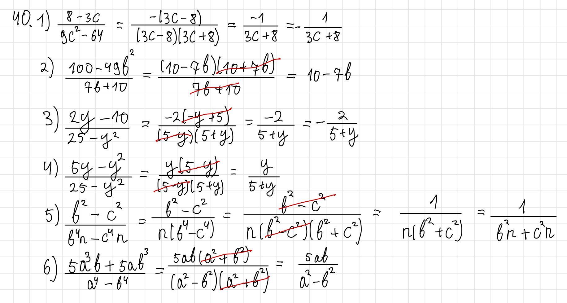
Помогите пожалуйста!!!!!
Приложения:
Ответы
Автор ответа:
1
Відповідь:
Буду вдячний за хорошу оцінку
Приложения:
Похожие вопросы
Предмет: Химия,
автор: dimah9
Предмет: Другие предметы,
автор: dmitrivnaludmila19
Предмет: История,
автор: aidaaarrrr08
Предмет: Математика,
автор: knazevaleksander0801
Предмет: Алгебра,
автор: aleksandrdaniluq