Предмет: Алгебра,
автор: Pepperr
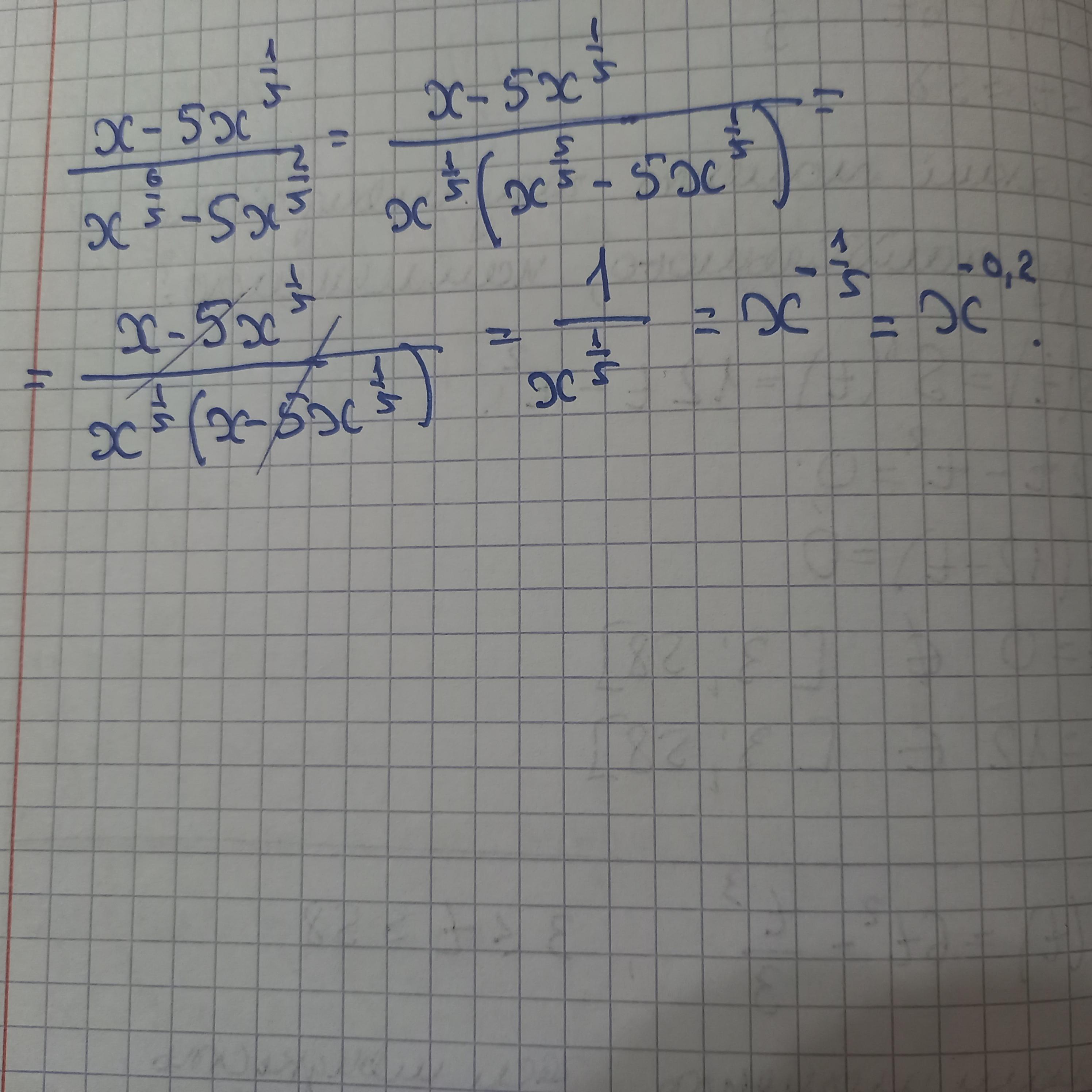
Подайте вираз у вигляді степеня з раціональним показником.
Приложения:
Ответы
Автор ответа:
1
Відповідь:
Пояснення:
розв'язання завдання додаю
Приложения:
daridarikos:
Здравствуйте, за ответы вам деньги платят?
Похожие вопросы
Предмет: Математика,
автор: tonyamack8448
Предмет: Литература,
автор: yevasi2011
Предмет: Химия,
автор: danka440
Предмет: Информатика,
автор: spraycs