Предмет: Алгебра,
автор: svpearl
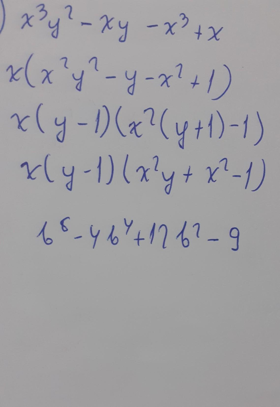
Розкласти на множники:
1). x³y²-xy-x³+x=
2). b⁶-4b⁴+12b²-9=
Ответы
Автор ответа:
0
Приложения:
svpearl:
спавсибо за 1 задание, 2 напишете?
Похожие вопросы
Предмет: Русский язык,
автор: Danilaplushka
Предмет: Окружающий мир,
автор: irinabaranyuk
Предмет: Информатика,
автор: someone5234
Предмет: Биология,
автор: pineapple1380