Предмет: Алгебра,
автор: boris584
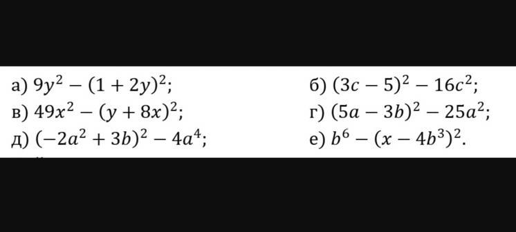
ЗДЕЛАЙТЬ ПО ФОРМУЛЕ ПРОШУ ДАМ 40б
Приложения:
Ответы
Автор ответа:
1
Ответ:
Если надо было сделать разложение на множители, я переделаю
Приложения:
boris584:
Спс
Пж
Похожие вопросы
Предмет: Математика,
автор: serhey12366
Предмет: Математика,
автор: vlad56583
Предмет: Геометрия,
автор: chingininaaiazhan
Предмет: Русский язык,
автор: lenaprokopenko57
Предмет: Литература,
автор: Аноним