Предмет: Математика,
автор: SaliyRostislav
Розв’яжіть рівняння:
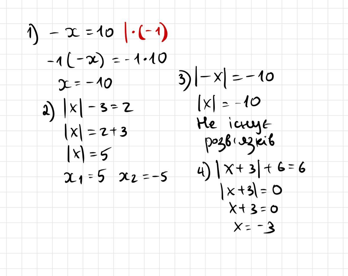
1) –х = 10; 3) |–х| = -10;
2) |х| - 3 = 2; 4) |х + 3| + 6 = 6.
Ответы
Автор ответа:
1
Вот ответ
……()()()()()…..
……()()()()()…..
Приложения:
Похожие вопросы
Предмет: Математика,
автор: NastiaSrAsTiA2012
Предмет: Химия,
автор: annamecler747
Предмет: Українська мова,
автор: lysogorckaaoksana
Предмет: Английский язык,
автор: dim2121