Предмет: Физика,
автор: r99152051
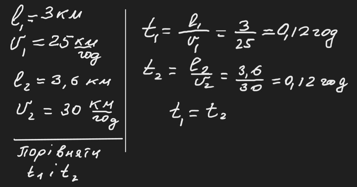
Людина може дістатися супермаркету двома шляхами: через парк на електросамокаті або тролейбусом в об*їзд. По доріжкам парку довжиною 3 км електросамокат буде рухатись зі швидкістю 25 км/год. Тролейбусу по цій ділянці міста з дозволеною швидкістю 30 км/год потрібно подолати шлях 3,6 км Який шлях обрати?
Ответы
Автор ответа:
1
Відповідь: Людина може дістатися супермаркету двома шляхами за однаковий час. Якщо погода дозволяє, то бажано на свіжому повітрі
Пояснення:
Приложения:
Похожие вопросы
Предмет: Қазақ тiлi,
автор: ajsasalihova6824
Предмет: Биология,
автор: kalasnikovkiril5
Предмет: Английский язык,
автор: nikitaporche
Предмет: Математика,
автор: 07101998i
Предмет: Русский язык,
автор: Daghb