Предмет: Алгебра,
автор: EsquIREN
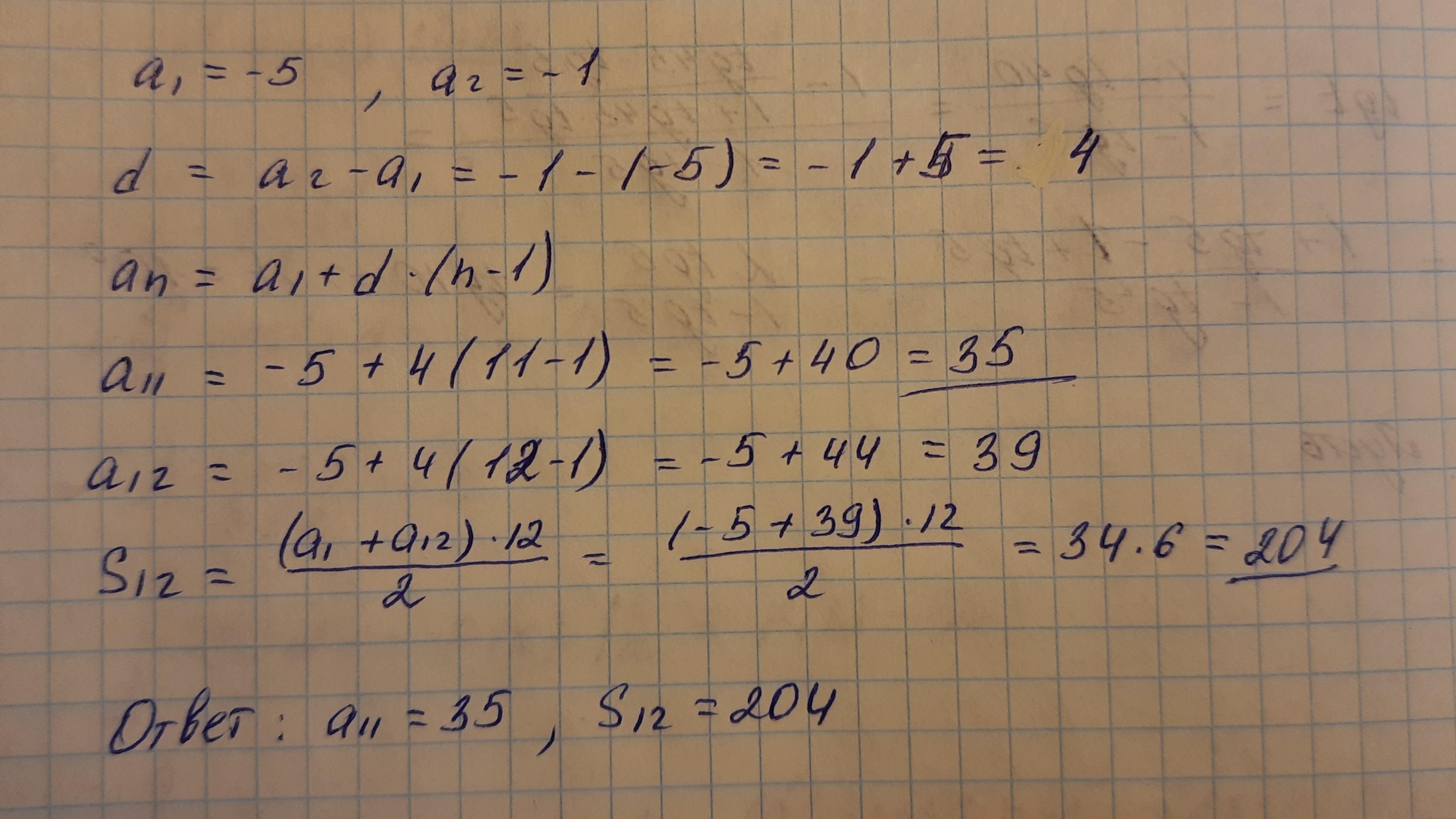
Найдите одиннадцатый член и сумму первых двенадцати членов арифметической прогрессии (an), если a1 = -5, a2 =-1.
Ответы
Автор ответа:
1
Решение во вложении....
Приложения:
EsquIREN:
a2=-1 !
Изменено
Глянь у меня еще на странице вопросы
Похожие вопросы
Предмет: Русский язык,
автор: janoshka4
Предмет: Английский язык,
автор: alinaluuna
Предмет: Русский язык,
автор: Аноним
Предмет: Русский язык,
автор: lida50
Предмет: Алгебра,
автор: ninamoscov