Предмет: Алгебра, автор: glebaskolesov

Пожалуйста помогите решить!

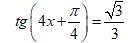
Приложения:

Ответы

Автор ответа: shavrinatv
2

Ответ:

x=\frac{\pi*n}{4} -\frac{\pi }{48},  n\epsilon Z\\\\

Объяснение:

4x+\frac{\pi }{4} =arctg\frac{\sqrt{3} }{3}+\pi n,  n\epsilon Z \\\\

4x+\frac{\pi }{4} =\frac{\pi }{6}+\pi n,  n\epsilon Z \\\\4x=\frac{\pi }{6}+\pi*n-\frac{\pi }{4},  n\epsilon Z\\4x=\pi*n-\frac{\pi }{12},  n\epsilon Z\\\\x=\frac{\pi*n}{4} -\frac{\pi }{48},  n\epsilon Z\\\\


glebaskolesov: спасибо!
Похожие вопросы
Предмет: Русский язык, автор: Одноклассник3016