Предмет: Математика,
автор: sidorenkoekaterina80
Формативная работа.
1 вариант
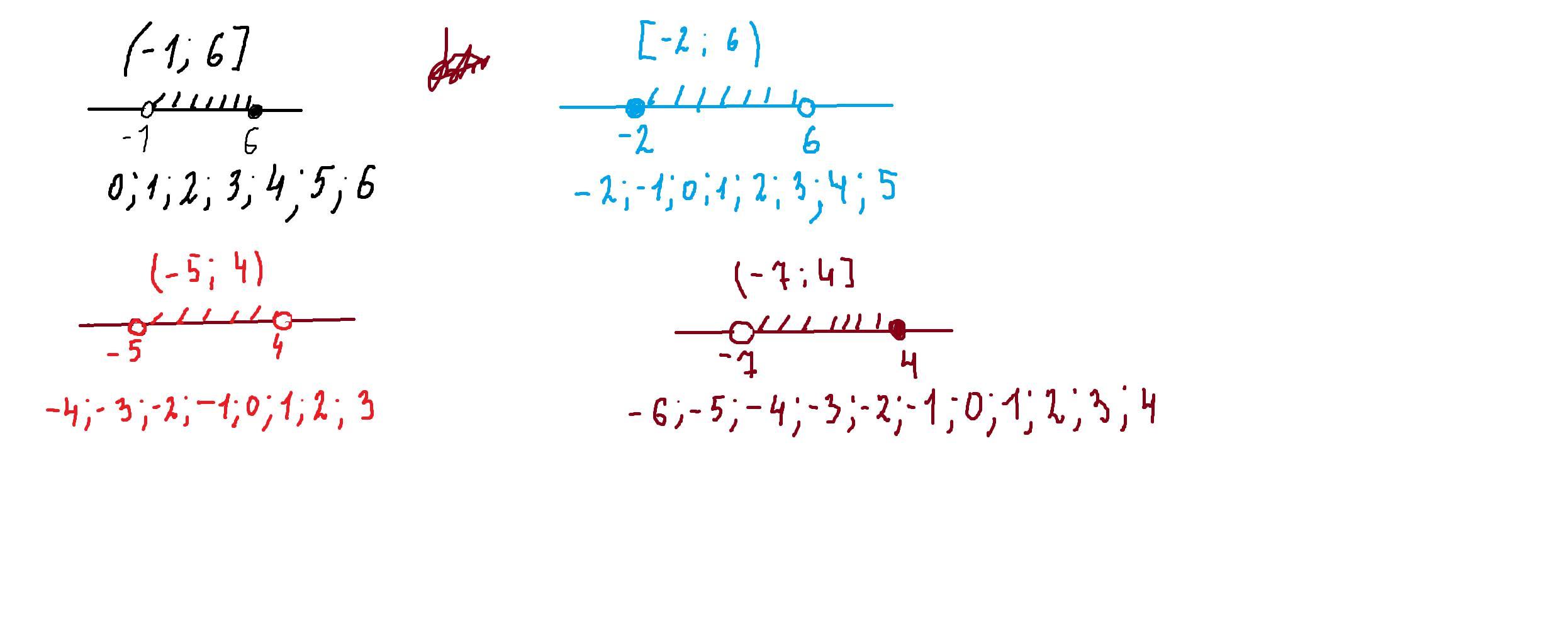
1. Запишите целые числа в промежутке: (-1; 6]6) (-5; 4) в) [-2; 6) г) (-7; 4]
помогите пжжжж
Ответы
Автор ответа:
2
Ответ:
а) 0, 1, 2, 3, 4, 5, 6
б) -4, -3, -2, -1, 0, 1, 2, 3
в)-2, -1, 0, 1, 2, 3, 4, 5
г) -6, -5, -4, -3, -2, -1, 0, 1, 2, 3, 4
Автор ответа:
0
Ответ:
Пошаговое объяснение:
если скобка квадратная,то точка закрашена и число входит в промежуток,если скобка круглая,то точка не закрашена,там "дырка","прокол" и она не входит в этот промежуток
Приложения:
sergeybestaev18:
помоги мне решить примеры
по алгебре
Похожие вопросы
Предмет: Химия,
автор: DECOY656
Предмет: Математика,
автор: elikozengi
Предмет: Биология,
автор: olia514shirinova
Предмет: Алгебра,
автор: Дона12308
Предмет: Английский язык,
автор: саша3382