Предмет: Физика,
автор: genialniicchelovek
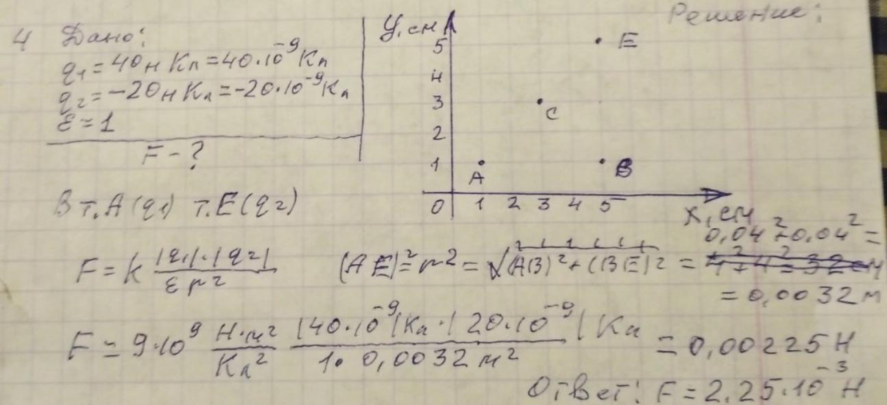
Два точечных заряда q1=нКл и q2=–20нКл размещены в вакууме в точках А и E. Определите модуль силы электростатического взаимодействия тел.
Приложения:
Ответы
Автор ответа:
3
Ответ:
Два точечных заряда q1=нКл и q2=–20нКл размещены в вакууме в точках А и E. Определите модуль силы электростатического взаимодействия тел.
ВСЁ В ФОТО
Приложения:
genialniicchelovek:
Большое спасибо. Теперь поняла наконец, как решать такие задачи
Похожие вопросы
Предмет: Биология,
автор: ученик1234х
Предмет: Химия,
автор: KarinaNyman
Предмет: Физика,
автор: asyalong
Предмет: Литература,
автор: 40016p3djfs
Предмет: Литература,
автор: Марина200624