Предмет: Алгебра,
автор: zlatasofronyuk99
Пожалуйста помогите решить пример.
«Производная сложной функции»
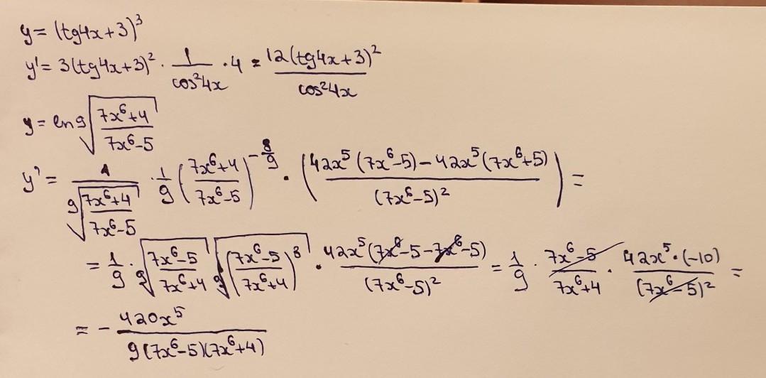
Найти производные сложных функций:
Приложения:
Ответы
Автор ответа:
1
Ответ:
решение на фотографии
Приложения:
Похожие вопросы
Предмет: Геометрия,
автор: mubinova
Предмет: Литература,
автор: леночка130602
Предмет: Физика,
автор: pollynaumova
Предмет: Химия,
автор: jacksonlikaoztqvj
Предмет: Математика,
автор: bibok3