Предмет: Математика,
автор: владик23231
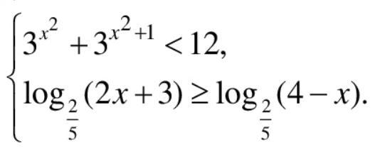
Решите систему неравенств
Приложения:
Ответы
Автор ответа:
1
Ответ:
решение на фотографиях
Приложения:
Похожие вопросы
Предмет: Українська мова,
автор: GTA10
Предмет: Английский язык,
автор: asiyam96
Предмет: Русский язык,
автор: rados17
Предмет: История,
автор: Пелагея089
Предмет: Математика,
автор: АлинаХомяк1