Предмет: Математика, автор: puk12349

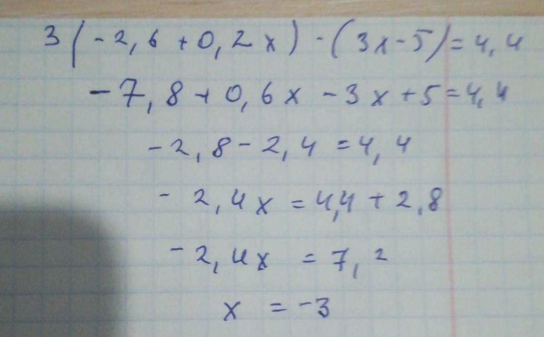
3(-2,6+0,2x)-(3x-5)=4,4
ПОМОГИТЕ СРОЧНО ПОЖАЛУЙСТА​

Ответы

Автор ответа: serikeriy
1

Ответ:

x=3

Пошаговое объяснение:

-7.8+0.6x-3x+5=4.4

0.6x-3x=4.4+7.8-5

-2.4x=12.2-5

-2.4x=7.2

x= -3


puk12349: спасибо!!
Автор ответа: toks11643
1

Ответ:

-3

Пошаговое объяснение:

вот решил на фотографиии

Приложения:
Похожие вопросы
Предмет: Английский язык, автор: verunyarybakova
Переведите предложения на англ язык, обращая внимание на перевод специальных вопросов в косвенной речи. ПЕРЕВОДЧИКОМ НЕ ПОЛЬЗОВАТЬСЯ!!!. Они спросили меня, какие книги я люблю читать. Они спросили меня,чей это учебник. Они спросили меня, какие из этих книг я хотел бы взять. Они спросили меня,что я сделала, чтобы помочь моему другу. Они спросили меня, кто помог мне сделать уроки. Они спросили меня, с кем я пойду в театр. Они спросили меня, за кем меня послали. Они спросили меня, куда я собираюсь идти. Они спросили меня, почему я пропустил несколько лекций. Они спросили меня, как им добраться до площадь Свердлова. Они спросили меня, когда я в последний раз видел Петрова. Они спросили меня, как я говорю по английски. Они спросили меня,как часто я хожу в театр. Они спросили меня,сколько времени нужно чтобы перевести статью. Они спросили меня,сколько иностранных языков я знаю. Они спросили меня, сколько времени я трачу на английский язык. Его спросили, сколько времени он потратил на эту работу. Его спросили, почему он не ходит в библиотеку. Его спросили, сколько ошибок он сделал в последнем тесте. Его спросили, как часто он навещает своего друга. Его спросили, когда он вернется домой. Его спросили, знает ли он какие нибудь иностранные языки. Его спросили, как он добирается до завода. Его спросили,где он будет работать. Его спросили,какие фильмы он любит смотреть. Его спросили, какой фильм будут показывать. Его спросили, с кем он собирается говорить о работе. Его спросили, с кем он делал перевод. Его спросили, кто из его друзей сможет перевести эту статью на немецкий язык.