Предмет: Алгебра,
автор: eyevika
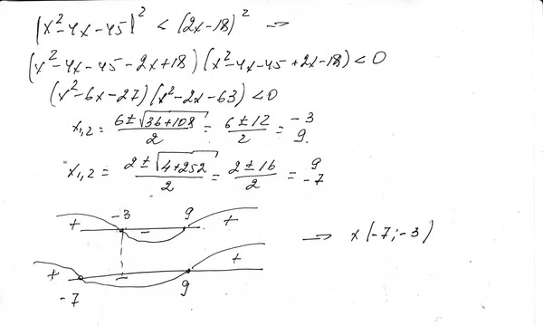
Решить неравенство: | x^2 - 4x - 45| < | 2x - 18 |
Ответы
Автор ответа:
0
ну, я думаю так..:
|2х-18|=0
|2х|=18
х=|9|
подставляем и проверяем:
|9^2-4*9-45|=0
|81-32-45|=|81-77|=4 ; 4 < 9
Т.е. неравенство является верным, при х=9
Автор ответа:
0
вот на тебе решение
Приложения:
Похожие вопросы
Предмет: Алгебра,
автор: danila3318
Предмет: Қазақ тiлi,
автор: Аноним
Предмет: Математика,
автор: Аноним
Предмет: Физика,
автор: vipzona1111
Предмет: Математика,
автор: speaker25