Предмет: Физика,
автор: usenovbakhytzhan2002
ДАЮ 40 БАЛЛОВ Помогите Быстрее
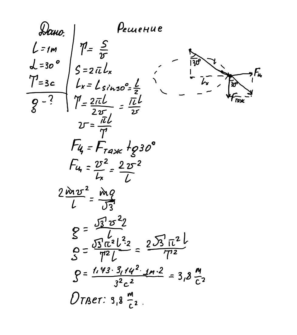
На Марсе шарик подвешенный на нити длиной 1 м вращается в горизонтальной плоскости с периодом 3 с отклоняясь от вертикали на 30 градусов. Чему равно ускорение свободного падентя на Марсе
Ответы
Автор ответа:
3
Оно равно 3.8 м/с^2
Решение на картинке
Приложения:
usenovbakhytzhan2002:
Огромное Спасибо
Похожие вопросы
Предмет: Физика,
автор: QphoenixL
Предмет: Физика,
автор: QphoenixL
Предмет: Математика,
автор: nk205320532053
Предмет: Математика,
автор: али284
Предмет: Математика,
автор: Asdfhhd