Предмет: Алгебра,
автор: sadrinasnezfana5
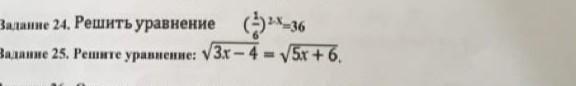
Решите уравнения, решение подробно
Приложения:
Ответы
Автор ответа:
2
Ответ:
решение представлено на фото
Приложения:
Похожие вопросы
Предмет: Математика,
автор: Аноним
Предмет: Математика,
автор: ruslanka1713
Предмет: Математика,
автор: ruslanka1713
Предмет: История,
автор: vadimleskoff
Предмет: Математика,
автор: Аноним