Предмет: Математика,
автор: wariox75
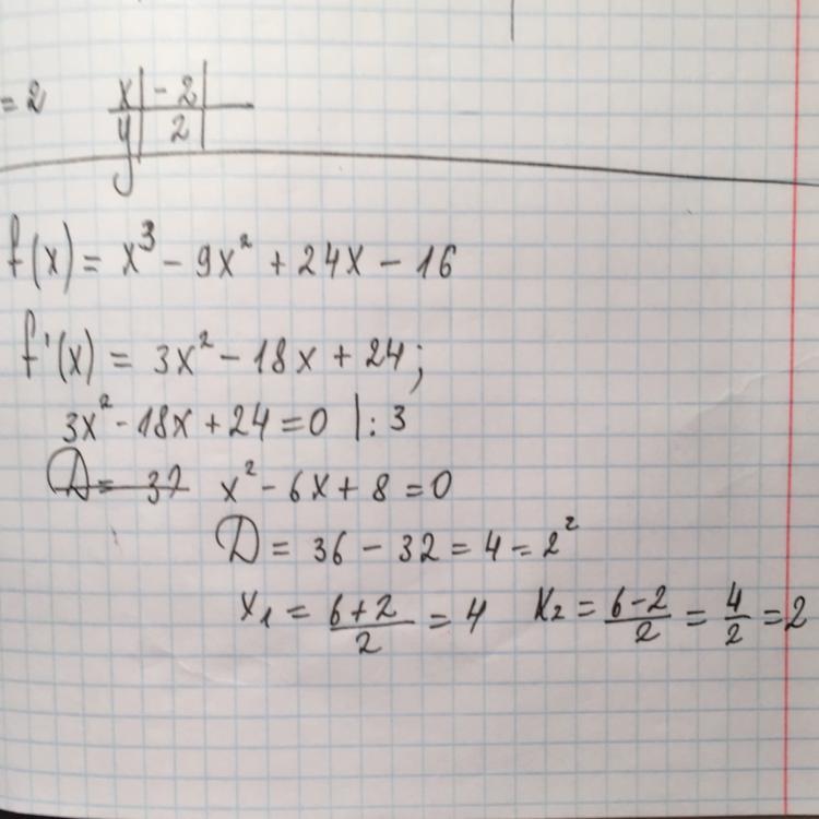
Решить:
f(x)=x^3-9x^2+24x-16
Спасибо!
Ответы
Автор ответа:
0
———————————————————>
Приложения:
Похожие вопросы
Предмет: Алгебра,
автор: mitinamarina255
Предмет: Математика,
автор: Eiprillove
Предмет: Алгебра,
автор: mitinamarina255
Предмет: Математика,
автор: AngelSkyOO
Предмет: Химия,
автор: rostovalika