Предмет: Математика, автор: vinnightray

Решите, пожалуйста, этот пример на свойства степеней

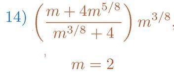
Приложения:

Ответы

Автор ответа: Or1g1n
0

Выносим m^{\frac{5}{8} } из числителя, получится m^{\frac{5}{8}} (m^{\frac{8}{8}-\frac{5}{8}}+ 4) =  m^{\frac{5}{8}} (m^{\frac{3}{8}}+ 4)

Сократим числитель и знаменатель, останется m^{\frac{5}{8} }

Умножим его на m^{\frac{3}{8} }

m^{\frac{5}{8} } * m^{\frac{3}{8} } = m^{\frac{5}{8}+\frac{3}{8} } =   m^{\frac{8}{8} } = m

Получилось m.

Ответ: 2

Похожие вопросы
Предмет: Алгебра, автор: aliya9516
Предмет: Литература, автор: Alisa10987
Предмет: Математика, автор: Аноним