Предмет: Математика, автор: titovaanna99

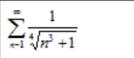
Исследовать сходимость числовых рядов.

Приложения:

Ответы

Автор ответа: Аноним
1

\displaystyle \dfrac{1}{\sqrt[4]{n^3+1}}\leq\dfrac{1}{\sqrt[4]{n^3}}=\dfrac{1}{n^{3/4}}

Поскольку \displaystyle \sum^{\infty}_{n=1}\dfrac{1}{n^{3/4}} - ряд расходящийся, то по первому признаку сравнения данный ряд также является расходящимся.

Ответ: ряд расходится.

Похожие вопросы
Предмет: Математика, автор: akopyanliana24
Предмет: Геометрия, автор: casperblack214