Предмет: Химия,
автор: JR17
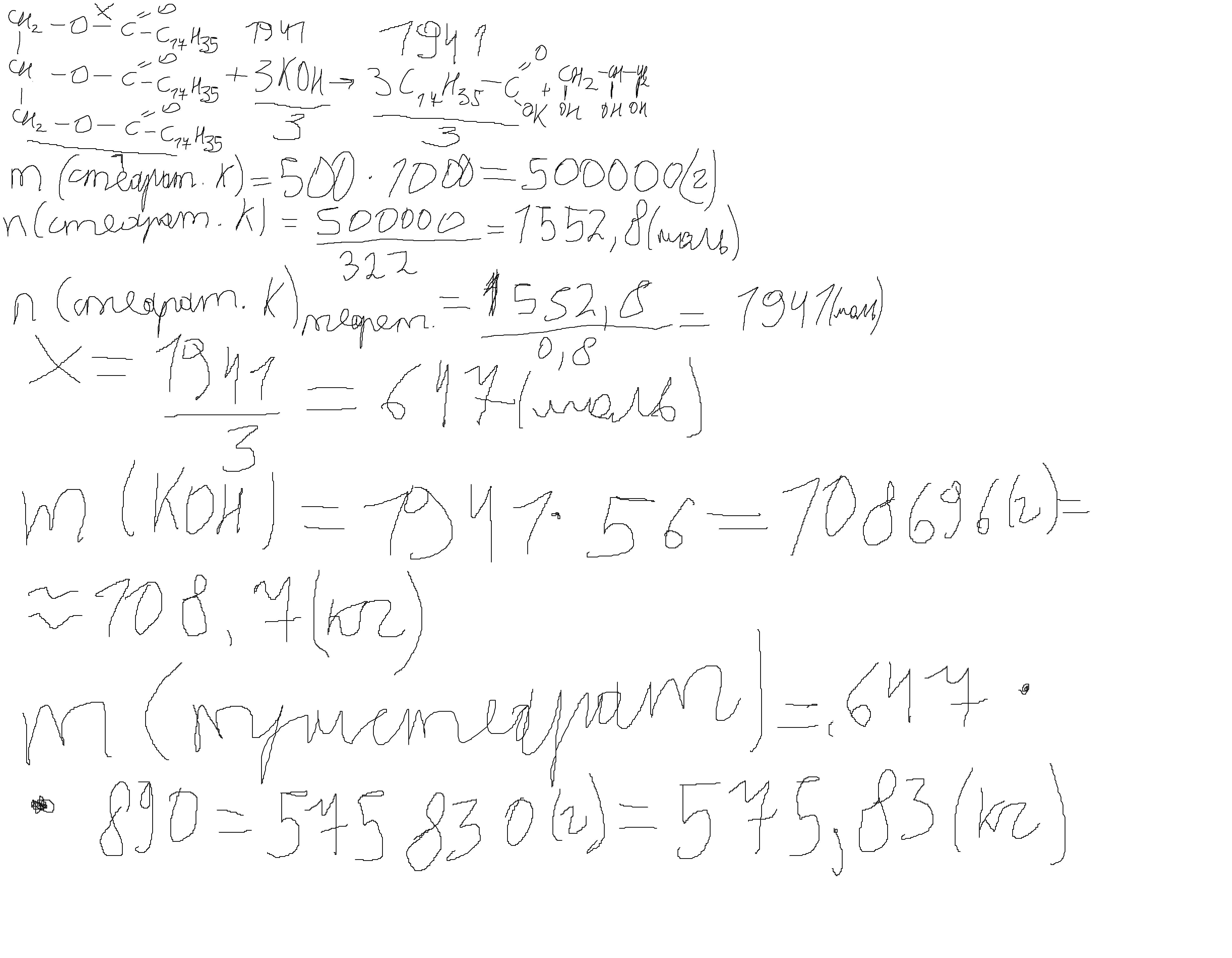
Стеарат калия - важный компонент жидкого мыла. Какая масса гидроксида калия и тристеарата потребуется для получения стеарата калия массой 500 кг , если выход продукта составляет 80% из-за производственных потерь ?
Ответы
Автор ответа:
2
Ответ:
ааааааааааааааааааааааааааааааааааааааааааааааааааа
Объяснение:
Приложения:
Автор ответа:
8
Ответ: 108,7 кг; 575,8 кг
Объяснение:
см. в приложении
Приложения:
JR17:
Спасибо большое)
Похожие вопросы
Предмет: Литература,
автор: nozdrin494
Предмет: Русский язык,
автор: p4vlenko2001
Предмет: Математика,
автор: a30596476
Предмет: Математика,
автор: Minikotik0