Предмет: Математика,
автор: SuperLOL2
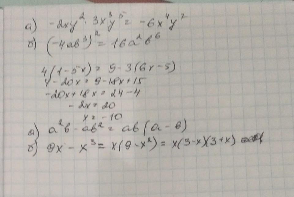
Задания на фото. Главное чтобы было решение а не просто ответ.
Приложения:
Ответы
Автор ответа:
0
ответ смотри на фотографии
Приложения:
Похожие вопросы
Предмет: Английский язык,
автор: anhelina2233
Предмет: Математика,
автор: antoninavolga
Предмет: Биология,
автор: gnomyhka
Предмет: Музыка,
автор: mjcukeng1
Предмет: Алгебра,
автор: Котонёк