Предмет: Математика,
автор: nadi1215
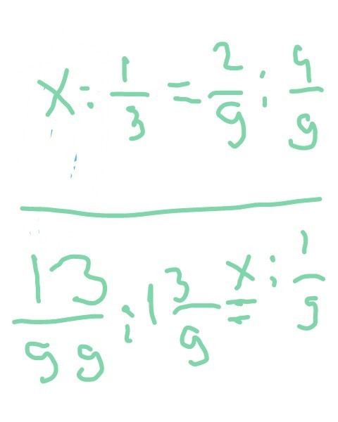
решать с помощью пропорции
Приложения:
tatsach:
во втором уравнении х: ? на какую дробь?
Ответы
Автор ответа:
1
Ответ:
Пошаговое объяснение:
4/9x=1/3*2/9
4/9x=2/27
x=2/27:4/9=2/27*9/4
x=1/6
1 3/9x=1/9*13/99
12/9x=13/891
x=13/891:12/9=13/891*9/12
x=13/1188
Похожие вопросы
Предмет: Русский язык,
автор: Аноним
Предмет: Химия,
автор: kegor1965
Предмет: Алгебра,
автор: valeryyyyl
Предмет: Биология,
автор: kazavova01
Предмет: География,
автор: Aruzhan137747