Предмет: Алгебра,
автор: xaben
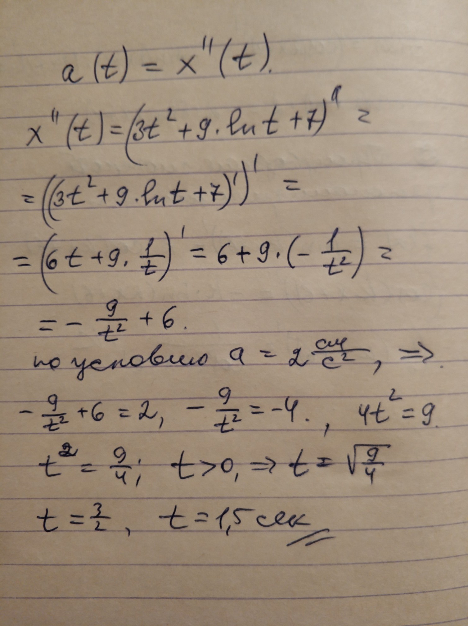
В какой момент времени ускорение движущейся точки будет равно 2см/с2 , если тело движется прямолинейно по закону x(t)=3t^2 + 9 ln t + 7 , где x(t) - путь в сантиметрах, t - время в секундах
Ответы
Автор ответа:
9
решение во вложении.....
Приложения:
xaben:
спасибо, все понятно для нубов))
Похожие вопросы
Предмет: Математика,
автор: linettasabirova
Предмет: Математика,
автор: Аноним
Предмет: Алгебра,
автор: phantombitsyt
Предмет: Геометрия,
автор: Nake476
Предмет: История,
автор: MiniPanda123