Предмет: Алгебра,
автор: gleb7665
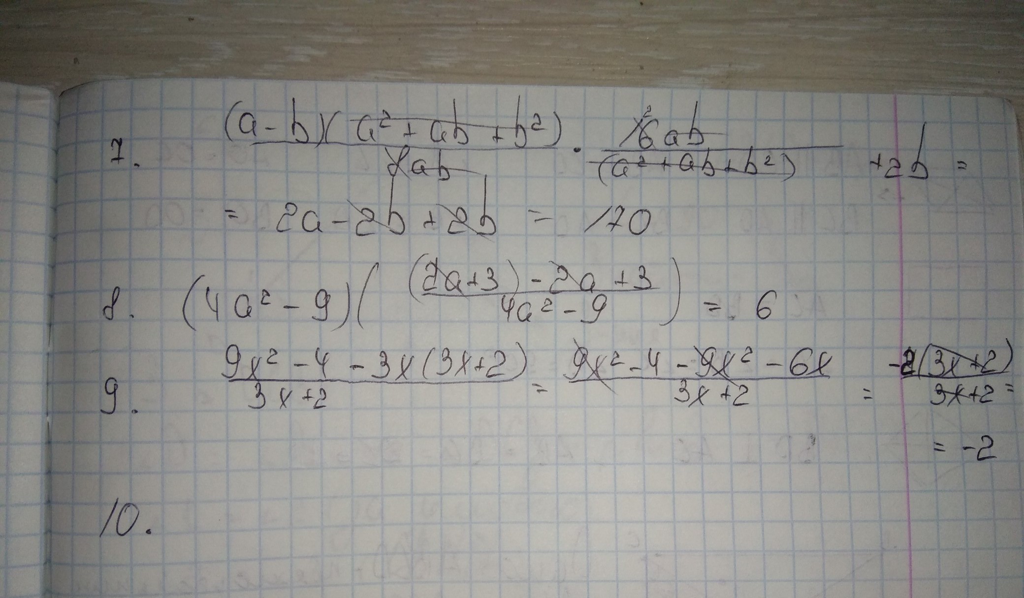
Помогите пожалуйста, целых 35 баллов
Приложения:
Ответы
Автор ответа:
1
........ ..............
Приложения:
Похожие вопросы
Предмет: Математика,
автор: linettasabirova
Предмет: Математика,
автор: Аноним
Предмет: Алгебра,
автор: phantombitsyt
Предмет: Геометрия,
автор: Nake476
Предмет: История,
автор: MiniPanda123