Предмет: Математика,
автор: Аноним
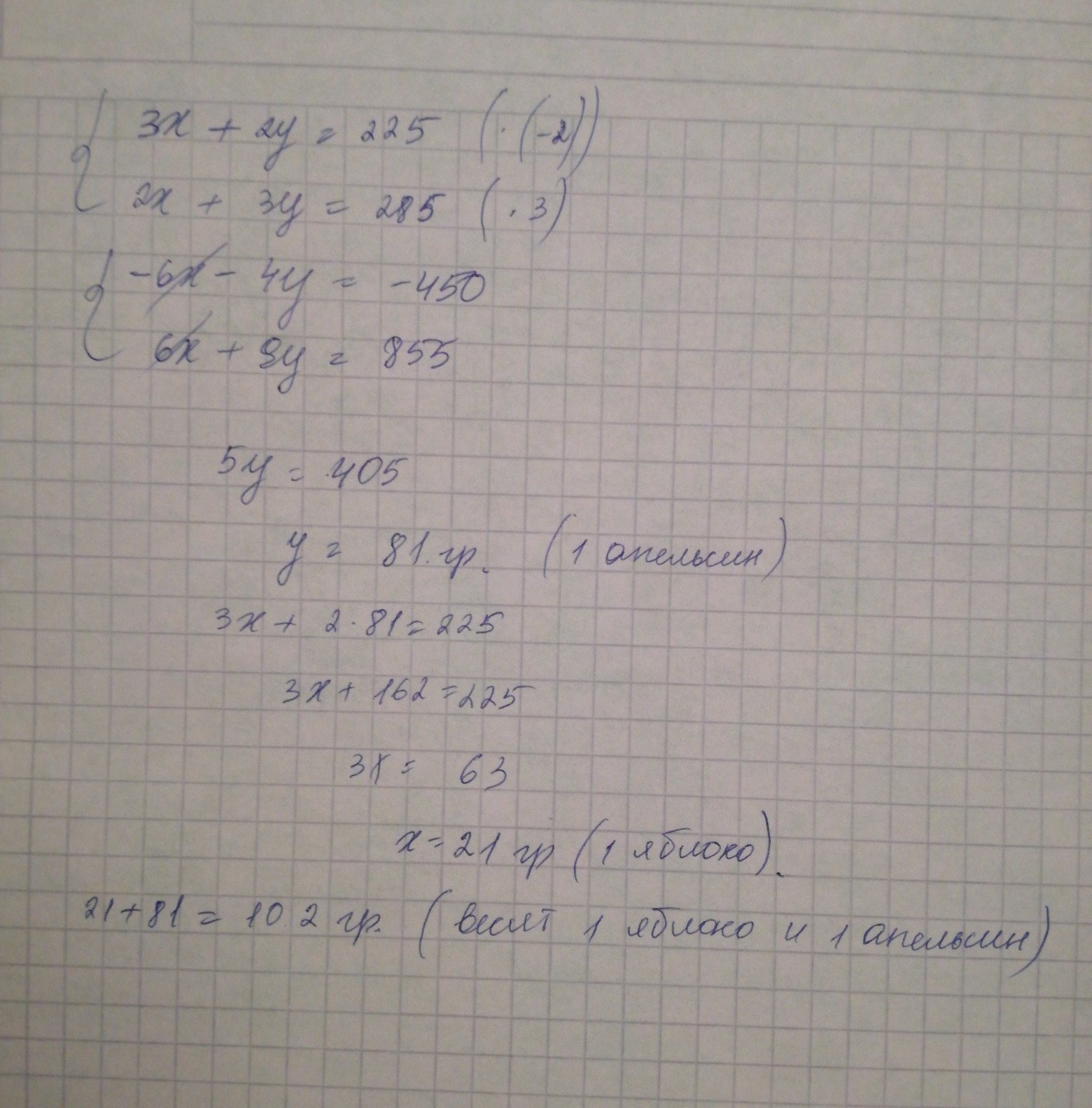
3 яблока и 2 апельсина весят вместе 225 г а 2 яблоки и 3 апельсина весят вместе 285 г Все яблоки и все апельсины весят одинаковы Сколько весят вместе 1 яблоко и 1 апельсин
А)110 г В)105г С)102г Д)104г
Ответы
Автор ответа:
11
ответ С. надеюсь,что помогла =)
Приложения:
Автор ответа:
2
ответ и решение на фото
Приложения:
Похожие вопросы
Предмет: История,
автор: sajfullinaajsa33
Предмет: Математика,
автор: dilyara061010
Предмет: Русский язык,
автор: Аноним
Предмет: Математика,
автор: atakhodjaevr
Предмет: Математика,
автор: kirushkina97