Предмет: Алгебра,
автор: Аноним
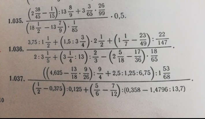
Помогите сделать 1.037!!! СРОЧНО! ДАМ 23 БАЛЛА!!!
Приложения:
Ответы
Автор ответа:
1
не знаю правильно ли но я решил так
у меня получилось

у меня получилось
Аноним:
У меня тож чёто типо того. Ладно заслудил баллы!
Похожие вопросы
Предмет: Физика,
автор: fs982631
Предмет: Математика,
автор: kseniazorina09
Предмет: Математика,
автор: egorka9450
Предмет: Алгебра,
автор: зедал