Предмет: Химия,
автор: lool10
Допишите схемы и составьте молекулярные,полные и сокращенные ионные уравнения реакций:
а)CuSo4+KOH=
б)H2S+CuCl2=
в)Cu(OH)2+HNO3=
г)Fe2(SO4)3+NaOH=
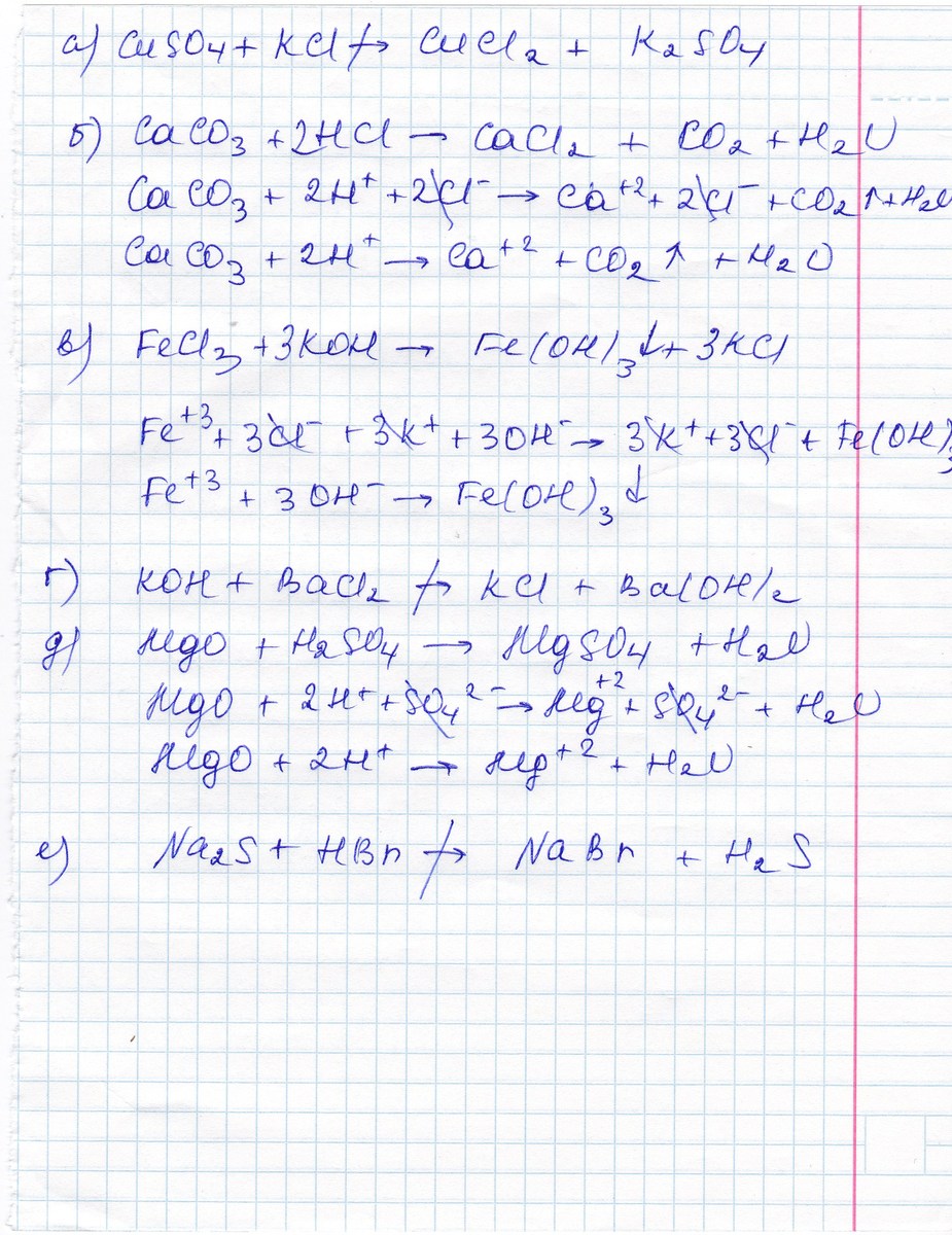
Укажите какие из реакций могут протекать практически до конца:
а)CuSo4+KCl=
б)CaCo3+HCl=
в)FeCl3+KOH=
г)KOH+BaCl2=
д)MgO+H2SO4=
е)Na2S+HBr=
Составьте уравнения возможных реакций в молекулярном и ионном виде.
Очень срочно .Огроомное спасибо)
Ответы
Автор ответа:
0
вот)надеюсь помогла. если что,спрашивайте
Приложения:
Похожие вопросы
Предмет: Математика,
автор: rdtbuiyygcxe
Предмет: Математика,
автор: nissansefira1996
Предмет: Математика,
автор: greenilia24
Предмет: Алгебра,
автор: Аноним
Предмет: Биология,
автор: LizaNamestnikova