Предмет: Алгебра, автор: esavchikyooooo

помогите с 39!
сумма x+y всех решений системы равна:

Приложения:

Ответы

Автор ответа: EkaterinaBurikina
0

9+ 11=20

2-2=0

ответ: 20 и 0


Приложения:
Автор ответа: zinaidazina
3

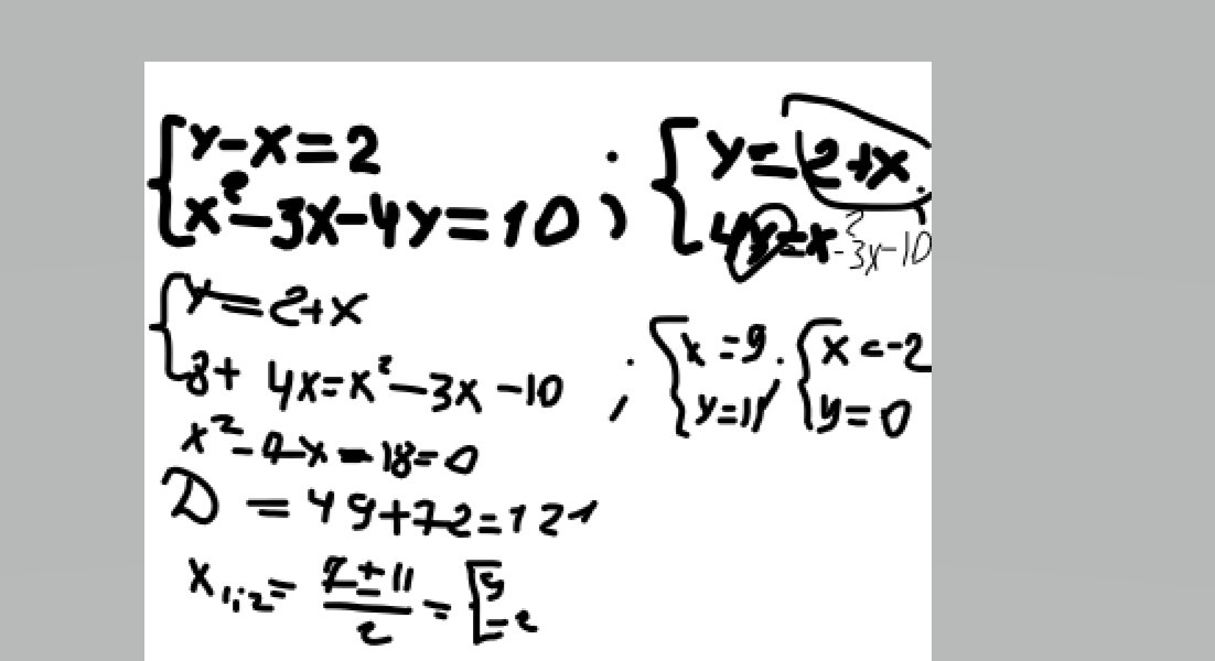
 \left \{ {{y-x=2} \atop {x^2-3x-4y=10}} \right.

 \left \{ {{y=x+2} \atop {x^2-3x-4y=10}} \right.

 \left \{ {{y=x+2} \atop {x^2-3x-4*(x+2)=10}} \right.

 x^2-3x-4x-8=10

 x^2-7x-8-10=0

 x^2-7x-18=0

 D=49-4*1*(-18)=49+72=121=11^2

 x_1=\frac{7-11}{2}=\frac{-4}{2}=-2  ;y_1=-2+2=0

 x_1=-2  ;y_1=0

 x_2=\frac{7+11}{2}=\frac{18}{2}=9  ;y_2=9+2=11

 x_2=9  ;y_2=11

 x_1+y_1+x_2+y_2=-2+0+9+11=18

Ответ: под цифрой 5) 18

Похожие вопросы
Предмет: Математика, автор: germanvorobev8
Предмет: Русский язык, автор: elvinasaripova13
Предмет: Химия, автор: KseWeitz