Предмет: Математика,
автор: ebaupoknopkamf
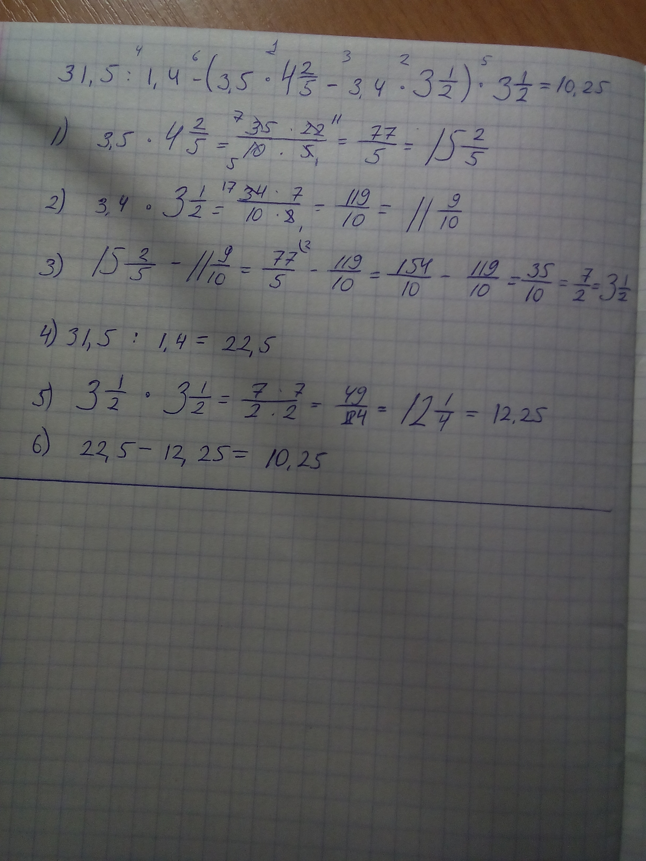
СРОЧНО ПТМОГИТЕ НА ФОТО ВСЕ РЕШИТЕ ПОЖАЛУЙСТА!!!!!ДАЮ 35 БАЛЛОВ
Приложения:
Ответы
Автор ответа:
0
во втором не понятны числа, которые ты написал(а)
первое вот:
первое вот:
Приложения:
Автор ответа:
0
Спасибо!!
Автор ответа:
0
всегда пожалуйста :3
Похожие вопросы
Предмет: Алгебра,
автор: makspetrovic52
Предмет: Қазақ тiлi,
автор: Popajwkjdbwjba030310
Предмет: Русский язык,
автор: aldiarkozahmet8
Предмет: Алгебра,
автор: islam180
Предмет: Алгебра,
автор: Аноним