Предмет: Физика, автор: snezhka03

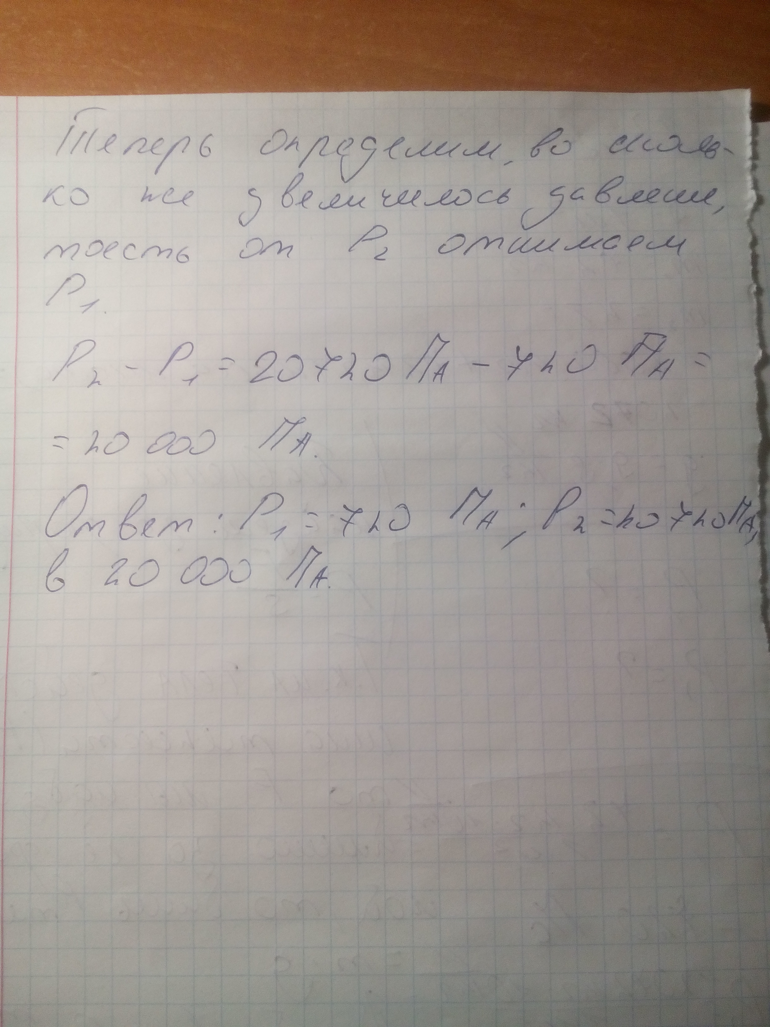
На песке лежит толстый стальной лист, площадь основания которого 1м2.
Вычисли давление листа на песок, если его масса равна 72 кг.
Насколько увеличится давление, если на лист поместить каменную глыбу массой 2 т? Принять g=9,8 Н/кг.

Ответы

Автор ответа: RomRemRam
0
11111111111111111111111111111111
Приложения:
Похожие вопросы
Предмет: Физика, автор: jdjsnbzjsj