Предмет: Физика,
автор: jdjsnbzjsj
ОТДАЮ ВСЕ СВОИ БАЛЛЫ!ПОМОГИТЕ ПОЖАЛУЙСТА!
Приложения:
Ответы
Автор ответа:
0
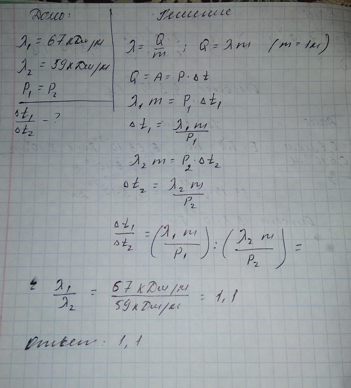
Ответ:
смотри решение на фотографии)
Приложения:
Похожие вопросы
Предмет: Русский язык,
автор: efimenko84
Предмет: Русский язык,
автор: соня299
Предмет: Русский язык,
автор: efimenko84
Предмет: Русский язык,
автор: nastaykitova88
Предмет: История,
автор: kristina2301995