Предмет: Химия, автор: Ibiza

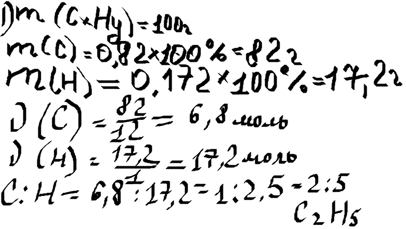
Массовые доли элементов в соединении составляют углерода 82,8 %, водорода 17,2 %. Относительная плотность паров этого вещества по водороду равна 29Ю Найти формулу этого соединения))) ПОМОгИТЕ)))

Ответы

Автор ответа: asvista
0

Решения во вложении,ответ C4H10

Приложения:
Похожие вопросы
Предмет: История, автор: gricenkov583