Предмет: Алгебра, автор: hilox

Помогите решить годовую

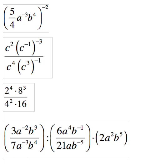
Приложения:

Ответы

Автор ответа: litanalove
0
1) =(5b^4/4a^3)^(-2) =(4a^3/5b^4)² =16a^6/25b^8

2) =(c²*c^3) /(c^4*c^-3) =c^5*c^3 /c^4 =c^8/c^4 =c^4

3) =2^4*2^3 /2^4*2^4 =2^3/2^4 =1/2 =0.5

4) =(3b^3*a^3 /7a²b^4) : (6a^4*b^5 /21ab^1) * 2a²b^5 =3a/7b * 21/6a^3b^4 * 2a²b^5 =
(3a *21 *2a²b^5) /(7b*6a^3b^4) =(6a^3b^5*21) /(7*6a^3b^5) =21/7 =3

значок ^ обозначает в степени
Похожие вопросы
Предмет: Английский язык, автор: ba7cm47kyq
Помогите пожалуйста, дам 100 баллов.
Coffee isn’t as good ___________ green tea.
a) as
b) than
c) that
Your friends have the _________ impact of all ways to control the stress.
a) more big
b) biggest
c) bigger
Doing sport is as effective ___________ relaxing.
a) then
b) as
c) than
Apples are __________ than chips.
a) most healthy
b) healthier
c) healthiest
How often do you _________ regular exercise?
a) make
b) eat
c) do
What do you do to _________ a healthy lifestyle?
a) kept
b) lead
c) make
_________ you always in a good mood?
a) do
b) are
c) make
There are _______ ways to cook chicken.
a) much
b) a little
c) lots of
There are _________ cafes in this district: only two or three.
a) a little
b) too many
c) only a few
You should avoid _______ lazy.
a) to be
b) being
с) be
What do you want ___________ when you grow up?
a) to do
b) doing
They _________ milk every day.
a) deliver
b) were delivered
c)was delivered
The puppy__________ by the boy.
a) is fed
b) feeds
c) is feed
What is the Royal Albert Hall?
a) a palace
b) a museum
c) a concert hall
How long did Queen Victoria rule the country?
a) 42 years
b) 64 years
c) 46 years
The Beatles ____ "A Hard Day's Night".
a) were written
b) wrote
c) write
___ the house ____ in 1899?
a) Did, built
b) Was, built
c) Is, built
These houses _____ _____ in 1899.
a) weren't, build
b) wasn't, build
c) weren't, built
Thousands of dollars ___ ____ on coffee in America every day.
a) are spend
b) are spent
d) were spend
I ____ my camera on the bench and it ___ ___ two days ago.
a) left, wasn't stolen
b) leave, isn't stolen
c) left, weren't stolen