Предмет: Алгебра,
автор: servicepack21
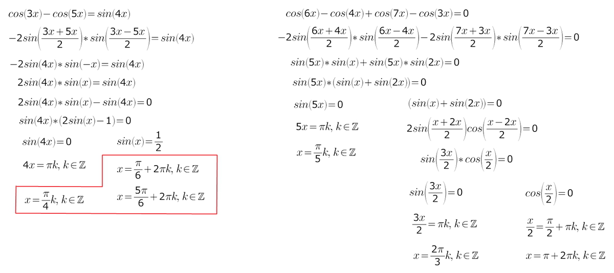
Решите уравнения, только очень-очень подробно (с дискриминантом, если он есть, и т.п.)! Даю много баллов.
1. cos3x-cos5x=sin4x
2. cos6x-cos4x+cos7x-cos3x=0
Ответы
Автор ответа:
0
без дискриминанта...
но с формулами разность косинусов, сумма синусов)))
но с формулами разность косинусов, сумма синусов)))
Приложения:
Автор ответа:
0
Ааа спасибо! Вы меня который раз выручаете. Да благослови Господь таких людей, как Вы. Спасибо огромнейшее!
Автор ответа:
0
на здоровье!!
Похожие вопросы
Предмет: Химия,
автор: gvggvxfhbhh
Предмет: Математика,
автор: romazholob124
Предмет: Химия,
автор: Аноним
Предмет: Биология,
автор: manutd1878