Предмет: Алгебра,
автор: LOLYOU1337
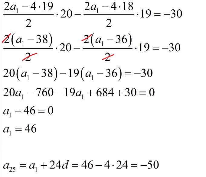
В арифметической прогресси S20 - S19 = -30 и d= -4. найдите a25
Ответы
Автор ответа:
0
см.вложение
======================================
Приложения:
Похожие вопросы
Предмет: Математика,
автор: bssprautkanal
Предмет: Математика,
автор: brawllogy98
Предмет: Алгебра,
автор: Аноним
Предмет: Обществознание,
автор: foule
Предмет: Литература,
автор: Marisham