Предмет: Алгебра,
автор: SloHiK
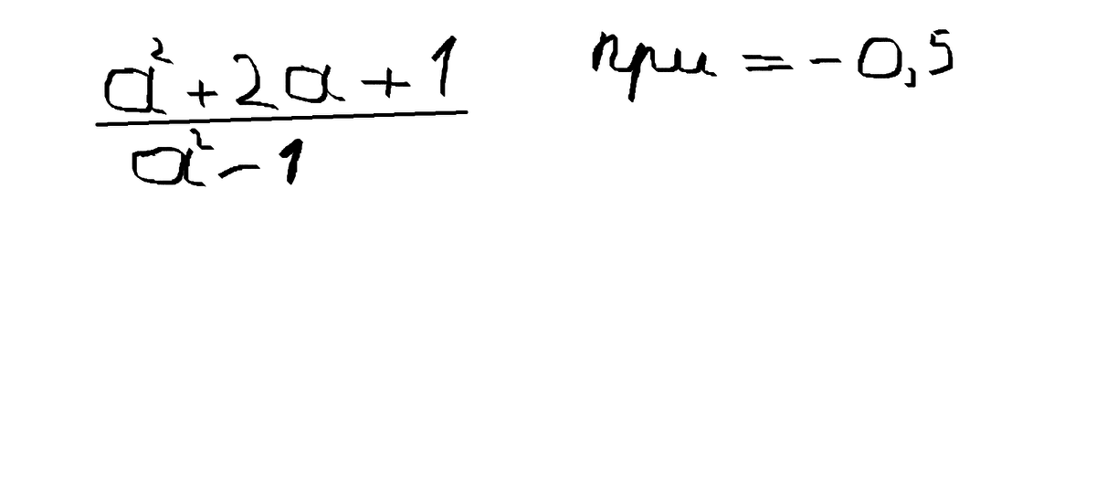
Сократить дробь и найти его значение При а= -0,5
Приложения:
Ответы
Автор ответа:
11
(а² + 2а + 1) /(а² - 1) = (а + 1)² / ((а - 1) * (а + 1)) = сократив на (а + 1) , получим
= (а + 1) / (а - 1)
А теперь в последнее подставим а = - 0,5
получаем
(- 0,5 + 1) / (- 0,5 - 1) = 0,5/(- 1,5) = - 5/15 = - 1/3
= (а + 1) / (а - 1)
А теперь в последнее подставим а = - 0,5
получаем
(- 0,5 + 1) / (- 0,5 - 1) = 0,5/(- 1,5) = - 5/15 = - 1/3
Похожие вопросы
Предмет: Қазақ тiлi,
автор: gore489
Предмет: Қазақ тiлi,
автор: TheApro
Предмет: Қазақ тiлi,
автор: maksim20082774
Предмет: Химия,
автор: Аноним
Предмет: Математика,
автор: roma20085