Предмет: Алгебра,
автор: Аноним
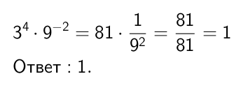
Найти значение выражения пожалуйста срочно надо
Приложения:
Ответы
Автор ответа:
0
Смотрите решение в прикреплённом файле.
Приложения:
Похожие вопросы
Предмет: Русский язык,
автор: arajnurlan1
Предмет: Математика,
автор: Аноним
Предмет: Алгебра,
автор: RuslanRussia1881
Предмет: История,
автор: polina9810
Предмет: Математика,
автор: kazbek06ozdoev