Предмет: Математика,
автор: Opasno1337
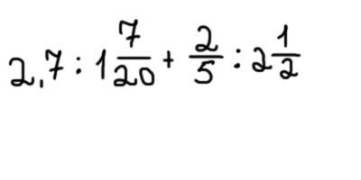
Решите задание,плиз)
Приложения:
Ответы
Автор ответа:
0
27/10 * 20*27 + 2/5 * 2/5= 2 + 4/25 = 54/25 = 2 целых 4/25
Похожие вопросы
Предмет: Математика,
автор: Vitaksee
Предмет: Қазақ тiлi,
автор: gameguardion6
Предмет: Математика,
автор: altaiamirhan
Предмет: Математика,
автор: кукушк