Предмет: Алгебра,
автор: Uhena
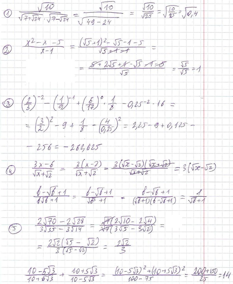
Пожалуйста,решите задания
Приложения:
Ответы
Автор ответа:
0
надеюсь понятно будет...
Приложения:
Похожие вопросы
Предмет: Химия,
автор: isajkozarina
Предмет: Другие предметы,
автор: 7292963829022829
Предмет: Алгебра,
автор: zuhrakadirova
Предмет: Обществознание,
автор: jjxkgjgukyu