Предмет: Математика,
автор: Даниил2221
решите надо очень
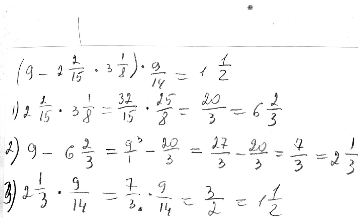
(9-2 2/15*3 1/8)*9/14
Ответы
Автор ответа:
0
смотри решение во вложении
Приложения:
Похожие вопросы
Предмет: Математика,
автор: adiadi23d
Предмет: Қазақ тiлi,
автор: nekto4097
Предмет: Русский язык,
автор: Аноним
Предмет: История,
автор: alexpopov1999
Предмет: Геометрия,
автор: pauchokrec