Предмет: Математика,
автор: Аноним
Очень прошу, решите пожалуйста два задания
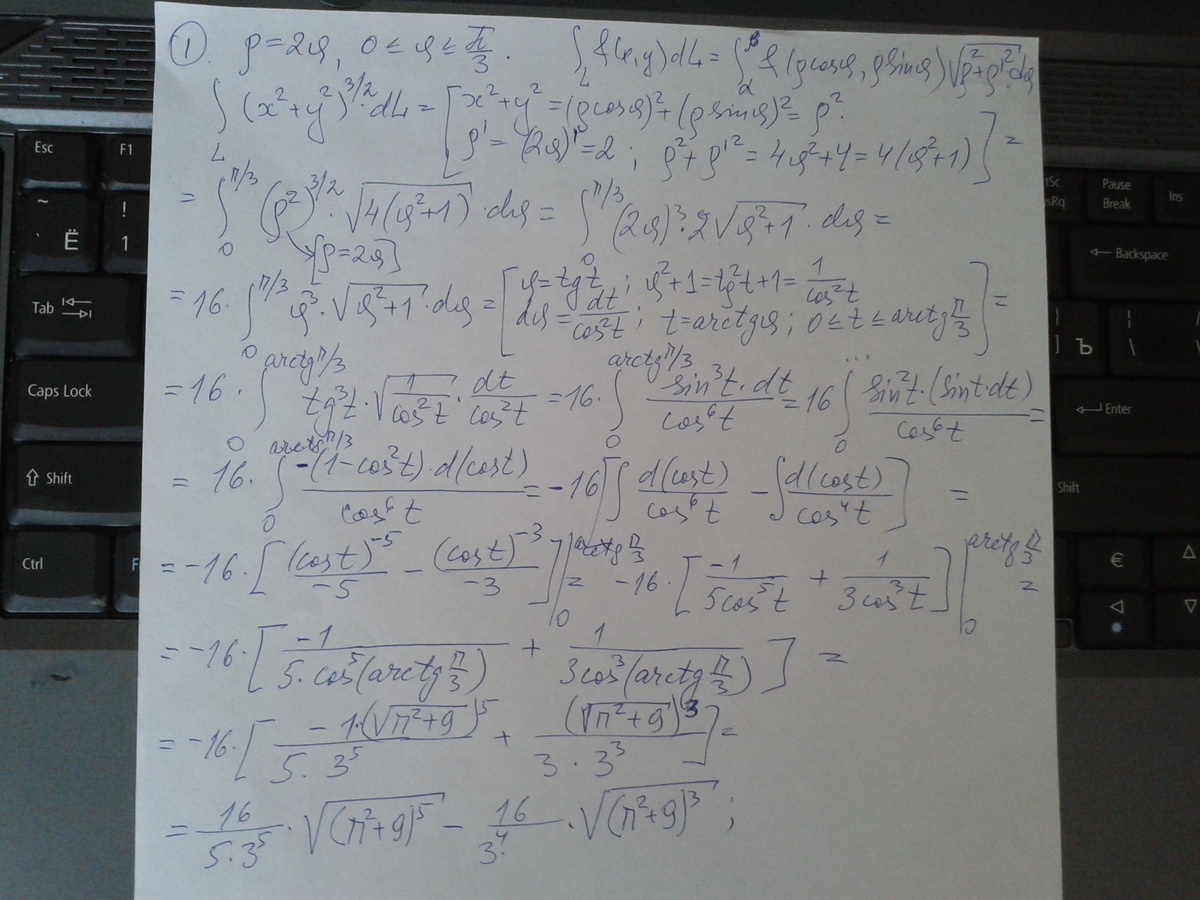
1)Вычислить криволинейный интеграл первого рода:
P=2φ; 0≤φ≤π/3
2)Вычислить поверхностный интеграл первого рода по поверхности Ω-часть плоскости(p), отсеченная координатными плоскостями:
Ответы
Автор ответа:
0
Вложение ....................................
Приложения:
Похожие вопросы
Предмет: Английский язык,
автор: julia56575657
Предмет: Английский язык,
автор: lunalunchika
Предмет: География,
автор: Аноним
Предмет: Геометрия,
автор: 1ванёк1