Предмет: Алгебра,
автор: iana01
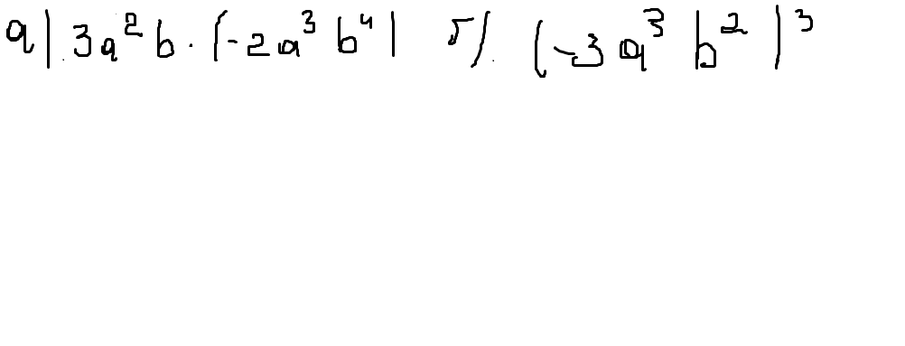
Упростите выражение !!!!!!!! срочно
Приложения:
Ответы
Автор ответа:
0
3a²b·(-2a³b⁴)= -5a⁵b⁵ или -5a⁴b³
(-3a^3b^2)^3=-9a^3b^2
(-3a^3b^2)^3=-9a^3b^2
Автор ответа:
0
Решите пожалуйста 2
Похожие вопросы
Предмет: Қазақ тiлi,
автор: dananu986
Предмет: Химия,
автор: tyftelka
Предмет: Алгебра,
автор: olyterenteva2008
Предмет: Математика,
автор: verbeya
Предмет: Литература,
автор: aer321q