Предмет: Алгебра, автор: zhannaaxmedova

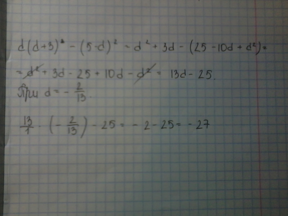
Упростите выражение d(d+3)-(5-d)в квадрате
найдите его значение при d = -2/13. в ответ запишите полученное число.
ЗАДАНИЕ 7

Приложения:

Ответы

Автор ответа: Juliaa21
0
..........................
Приложения:
Похожие вопросы
Предмет: Окружающий мир, автор: zhaksynbetov3110
Предмет: История, автор: salex0212
СОЧ № 2 (история Казахстана) 9 класс

Продолжительность - 40 минут
Количество баллов – 30

В суммативном оценивании за четверть используются различные типы заданий: вопросы с множественным выбором ответа, вопросы, требующие краткого, развернутого ответа.
Данный вариант состоит из 4 заданий, включающих вопросы с множественным выбором ответа и с кратким ответами.
В вопросах с множественным выбором ответов обучающийся дает расширенную характеристику частей темы .
В вопросах, требующих краткого ответа, обучающийся записывает правильные ответы и делает вывод по теме.

1. Заполните схему, и укажите последствия политики командно-административной системы в 20–30 гг. ХХ века. 6 баллов




2. Охарактеризуйте особенности Индустриализации в Казахстане.
8 баллов

Цель

Преимущества

Недостатки

Особенности

Влияние на экономику Казахстана

Аргументируйте слова С.Садвакасова «Казахстан был и остался колонией»



3. Ответьте на вопросы о демографической ситуации в Казахстане в 1930-х гг. 6 баллов

a). Укажите причины увеличения миграционного потока в Казахстане

_________________________________________________________________

б). Опишите последствия демографических изменений в 1930-х гг. в Казахстане?
____________________________________________________________________________________________________________________________________________







4. Постройте диаграмму конкретных шагов государства в Ликвидации неграмотности в Казахстане. 10 баллов

























Критерии оценивания № задания Дескриптор Баллы
Обучающийся
Указывает последствия политики командно-административной системы в 20–30 гг. ХХ в. Делает вывод
1 Указывает 1 последствие политики КАС 1
Указывает 2 последствие политики КАС 1
Указывает 3 последствие политики КАС 1
Делает вывод 3
Характеризует особенности Индустриализации в Казахстане
2 Определяет цель политики 1
Определяет преимущества 1
Определяет недостатки 1
Определяет особенности 1
Описывает последствия индустриализации в экономике Казахстана 2
Аргументирует слова С.Садвакасова 2
Отвечает на вопросы о демографической ситуации в Каз-не в 1930-х гг 3 Указывает причины
3
Описывает последствия 3
Строит диаграмму шагов государства в ликвидации неграмотности в Каз-не 4 1 шаг 1
2 шаг 1
3 шаг 1
4 шаг 1
5 шаг 1
6 шаг 1
7 шаг 1
8 шаг 1
9 шаг 1
10 шаг 1
Всего баллов 30
Предмет: История, автор: pshenyanaya