Предмет: Алгебра,
автор: malipusi4ka
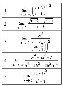
вычислить пределы.(во вложении)
Приложения:
Ответы
Автор ответа:
0
1) e^4
2)1
3)20
4)5
5)0
сами решения в файле
Приложения:
Похожие вопросы
Предмет: Информатика,
автор: leonteva0798
Предмет: Английский язык,
автор: Rainlunar69
Предмет: Алгебра,
автор: amina90975
Предмет: Математика,
автор: nich4ka2000