Предмет: Алгебра, автор: Lamakin

Пожалуйста, скажите ответ. Я сомневаюсь в своем решении и мне нужно свериться с кем-то. Решение не надо.
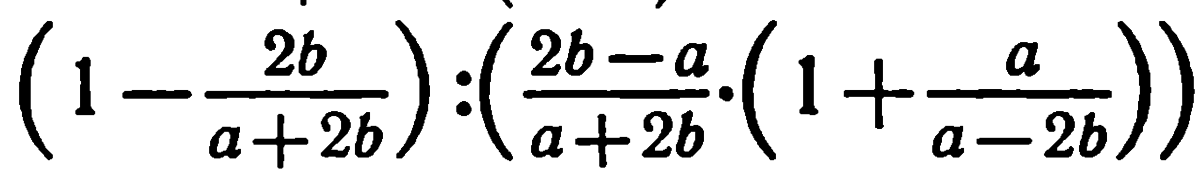
Упростить выражение:

Приложения:

Ответы

Автор ответа: andreySVU2001
0
a:4b-2a вот так  вроде как ответ
                   


Автор ответа: Lamakin
0
Большое спасибо, у меня все сошлось)
Автор ответа: NNNLLL54
0
Плохо, что сошлось, потому что неверно.
Похожие вопросы
Предмет: Русский язык, автор: kassandra250210
В доме одного мудреца любили собираться ученые мужи. Часто в своих
разговорах они обсуждали важные дела. Однажды стали они рассуждать, какая
профессия самая важная.
– Каждому нужно образование, – говорил один мудрец. – Значит профессия
учителя самая нужная.
– Благодаря строителям у нас есть дома и прекрасные здания, – возразил
второй.
– А как же обойтись без музыкантов, поэтов и художников. Они делают нашу
жизнь прекрасной! – воскликнул третий мудрец.
Во время этого спора в комнате находился молодой повар мудреца,
который сказал:
– О светлейшие! Вы ничего не сказали о профессии повара.
Но хозяин велел ему не вмешиваться в разговор умных людей.
– Иди на кухню и займись делом! И помни, что труд повара не так уж и важен.
В этот день хозяин сам готовил обед, так как его молодой повар куда-то
исчез. Друзья мудреца остались недовольны его угощениями и быстро
разошлись по домам. Вскоре мудрец нанял другого повара. Но тот готовил
ужасно, и в дом хозяина уже не приходили гости.
Тогда мудрец разыскал своего бывшего повара и сказал ему:
– Я ошибался. Профессия повара не менее значима, чем все остальные. Твое
ремесло – это искусство.
После этих слов повар вернулся. А вместе с ним вернулись и вкусные
обеды. Друзья мудреца вновь стали приходить к нему.
И решили с тех пор мудрецы, что все профессии на Земле важны и
нужны людям. Главное, чтобы люди делали свою работу на совесть.
2. Составьте 2 вопроса, отражающие ваше отношение к тексту.
ПОМАГИТЕ ПЖ У МЕНЯ СОЧ
Предмет: Алгебра, автор: Аноним
Предмет: Химия, автор: lesyasavenkova