Предмет: Алгебра,
автор: ProgibFatality
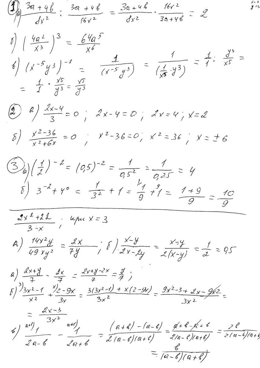
Задали по алгебре несколько заданий, помогите сделать пожалуйста :)
Приложения:
Ответы
Автор ответа:
0
вотЬ как-то так вотЬ
Приложения:
Автор ответа:
0
Спасибо большое, прям выручил :D
Похожие вопросы
Предмет: Алгебра,
автор: chercheeeeel
Предмет: Английский язык,
автор: mefisto002
Предмет: Қазақ тiлi,
автор: kadylbekovmadiar777
Предмет: Математика,
автор: fotr