Предмет: Математика, автор: kuragafair

Производную. Пожалуйста!
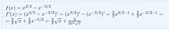
f(x) = x^3/2 - x^-3/2

Ответы

Автор ответа: Anastsiia
0
f(x)=x^{3/2}-x^{-3/2} \ f'(x)=(x^{3/2}-x^{-3/2})'=(x^{3/2})'-(x^{-3/2})'= frac{3}{2}x^{3/2-1}+ frac{3}{2}x^{-3/2-1}= \ = frac{3}{2} sqrt{x}+frac{3}{2}x^{-5/2}=frac{3}{2} sqrt{x}+frac{3}{2 x^{2}  sqrt{x} }
Приложения:
Похожие вопросы
Предмет: Математика, автор: hdhdhsgsh