Предмет: Алгебра,
автор: angelangelok
Решите уравнения
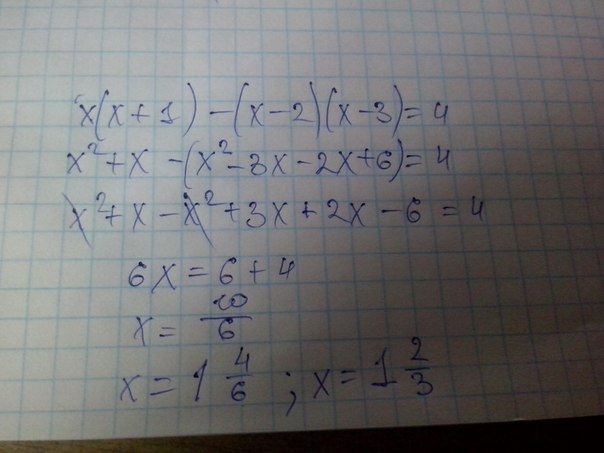
x(x+1)-(x-2)(x-3)=4
Ответы
Автор ответа:
0
................................................
Приложения:
Автор ответа:
0
Спасибо)
Автор ответа:
0
не за что)
Похожие вопросы
Предмет: Русский язык,
автор: anarbolysbaeva7
Предмет: Геометрия,
автор: egorhodykin23
Предмет: Математика,
автор: pikosha02
Предмет: Химия,
автор: maskimaudi